Sin Cos Tan Arctan Tabelle

Atan2 Function Definition And Online Calculator
Precalculus Archive May 03 2017 Chegg Com
Http Www Wiete Com Au Journals Gjee Publish Vol8no3 Risse Pdf

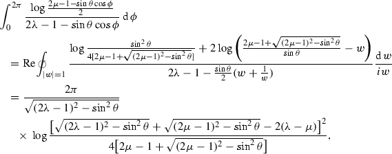
Kontsevich Zagier Integrals For Automorphic Green S Functions I

Arccos X Inverse Cosine Function
Blog Archives Xsonarnav
Https Mathwithtimmy Files Wordpress Com 2017 06 Trig Identities Pdf

Table Of Sines And Cosines Trigonometric Table Table Of Natural
Https Pure Tue Nl Ws Files 3648245 161551 Pdf

How To Interpolate Wind Direction In Gis Using Transformation